こんにちは。大阪の看護予備校‐SPI数学塾の吉田です。
新大阪駅から徒歩5分の事務所、大阪駅・梅田駅周辺等のカフェへの出張授業、オンライン授業も可能。
看護受験の数学・英語・現代文・小論文・志望動機書の書き方・面接・SPI等の授業をしています。
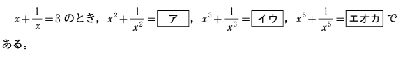
今回は「高校数学Ⅰのオーソドックスな計算問題」の解説授業動画を投稿いたしました。
動画のサムネイルでは「大和大学看護」等とありますが、高校での定期考査や実力テスト、他大学・看護学校での入試問題としても出題頻度の高い問題です。
こういう感じの一行問題と呼ばれる問題を多く熟しておくのは、実力アップに有効です。
それに基礎知識をチェックするのに良いですし、応用力養成にも役に立ちます。
では、チャレンジして見て下さい。

SPI非言語・看護受験・社会人/大人学び直し・大学受験・高校生補習・中高一貫
#算数図形問題 #中学受験算数図形問題 #高校受験数学図形 #看護学校受験数学図形問題 #大学受験数学図形問題

コメント